next up previous contents
Next: The quotient field of Up: First properties of Weyl Previous: Algebra endomorphisms and centers   Contents

A splitting algebra of $ A_n$

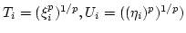
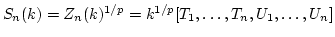
In this subsection we assume that $ k$ is a field of characteristic $ p>0$. Let $ S_n(k)=Z_n(k)^{1/p}=k^{1/p}[T_1,\dots,T_n,U_1,\dots,U_n]$ where $ T_i=(\xi_i^p)^{1/p},U_i=((\eta_i)^p)^{1/p})$. It is a splitting algebra of $ A_n(k)$, as the following lemma tells.

Lemma 5   The algebra $ A_n(k)$ acts on $ \mathcal V=\oplus_{i=1}^{p^n}S_n(k)$. In other words, there exists a representation $ \Phi$ of $ A_n(k)$ on $ \mathcal V$.

$\displaystyle \Phi(\xi_i)=\mu_i+T_i, \qquad
\Phi(\eta_i)=\nu_i+U_i,
$

where elements $ \mu_i,\nu_i$ of $ M_{p^n}(k)$ are defined (using notation in Lemma 1) as follows.

$\displaystyle {\mu}_i=1_{p^{i-1}}\otimes {\mu}\otimes 1_{p^{n-i}},
{\nu}_i=1_{p^{i-1}}\otimes {\nu}\otimes 1_{p^{n-i}}.
$

The representation $ \Phi$ may be extended to the following isomorphism.

$\displaystyle \Phi:A_n(k)\otimes_{Z_n(k)}S_n(k)
\cong M_{p^n}(S_n(k))
$

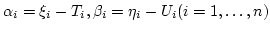
Put $ \alpha_i=\xi_i-T_i,\beta_i=\eta_i-U_i(i=1,\dots,n)$. Then it is easy to show that elements $ \alpha_1,\dots,\alpha_n,\beta_1,\dots,\beta_n$ satisfy the relation of generators of the algebra $ \mathfrak{M}$ as in Lemma 1.

$ \qedsymbol$

ARRAY(0x8ececbc)


2003/3/3